Aerogene verspreiding van SARS-CoV-2: risico op een secundaire infectie
Na maanden van een intelligente lockdown nodigen veel bedrijven hun medewerkers uit om weer naar het werk te komen. Handen worden allang niet meer geschud. Ook geldt een 1,5 meter beleid en vaak een streng schoonmaakprotocol. Zijn al deze maatregelen voldoende om overdracht van het SARS-CoV-2 virus te voorkomen?
Door dr. ir. Yasin Toparlar en dr. ir. Paul van Gent, senior experts Deerns Nederland B.V.
Afstand houden helpt zeker tegen besmetting via relatief zware druppeltjes die vrijkomen bij hoesten en niezen en vervolgens naar beneden vallen. Maar mensen verspreiden ook veel kleinere druppeltjes die in de lucht blijven zweven. Volgens de WHO en het RIVM lijkt het erop dat het virus onvoldoende in zwevende druppeltjes aanwezig is om iemand te infecteren, en dat ventilatiesystemen daarom geen rol spelen bij de verspreiding van het virus. Een artikel in Nature stelt echter dat er geen duidelijke wetenschappelijke consensus bestaat over de zogenaamde aerogene verspreiding van SARS-CoV-2. Wanneer zou blijken dat dit een reëel risico is, dan is het van groot belang om binnenruimtes van ruim voldoende verse lucht te voorzien en recirculatie van gebruikte lucht te minimaliseren. Onze experts hebben deze algemene aanbevelingen al vertaald in praktisch advies voor specifieke situaties afhankelijk van het installatieontwerp en ventilatieconcept. Dit artikel laat de technische maatregelen verder buiten beschouwing. In plaats daarvan proberen we een (voorlopig) antwoord te vinden op de vraag: hoe groot is het risico op secundaire infecties in binnenruimtes?
Berekening van het risico op secundaire infectie
Om het risico op secundaire infectie te bepalen, gebruiken we het concept ‘quanta’. De quantaproductie kan worden gezien als de besmettelijkheid die een geïnfecteerd persoon voortbrengt. Een recent onderzoek schat de quantaproductie door een drager van SARS-CoV-2 in op basis van de (gemeten) typische virusconcentratie in de mond van geïnfecteerde personen, de hoeveelheid druppeltjes die een persoon produceert (afhankelijk van inspanning en stemgebruik) en de besmettelijkheid van een eerder coronavirus (SARS-CoV-1). Met een inschatting van de quantaproductie?, berekenen we de quanta?concentratie in een ruimte met verloop van tijd, onder de aannames dat 1 persoon in de ruimte drager is van het SARS-CoV-2 virus en dat de lucht in de ruimte volledig gemengd is. Belangrijke gegevens hierbij zijn de afmetingen van de ruimte en de ventilatie- en recirculatievoud. We houden er rekening mee dat een deel van het virus inactief raakt en landt op oppervlaktes. Tot slot bepalen we het risico op secundaire infectie met behulp van de Wells-Riley vergelijking.
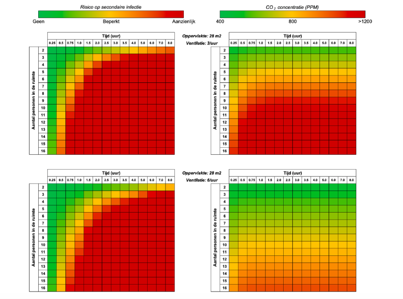
Resultaten voor vergaderruimte van 28 m2
We hebben het risico op secundaire infecties via aerogene transmissie berekend voor een vergaderruimte van 28 m2 bij twee veelvoorkomende ventilatievouden: 3 per uur en 6 per uur. We gaan ervan uit dat er één persoon in de vergadering drager is van het virus en dat deze persoon ruim aan het woord is, bijvoorbeeld presenteert. De figuren op de volgende bladzijde tonen de resultaten afhankelijk van het ‘aantal mensen’ in de ruimte en de ‘vergaderingsduur’. De grafieken aan de linkerkant tonen het risico op secundaire infectie op een schaal van 0 (groen) tot 1 en hoger (rood). De grafieken aan de rechterkant tonen de CO2-concentratie op een schaal van 400 ppm (bij benadering buitenlucht) tot 1200 ppm en hoger (kenmerkend voor een slechte luchtkwaliteit).
De grafiek linksboven laat zien dat bij een ventilatievoud van 3 per uur een secundaire infectie waarschijnlijk worden wanneer 4 personen 2 uur vergaderen; dit terwijl op dat moment de luchtkwaliteit op basis van de CO2 concentratie (grafiek rechtsboven) nog ruim voldoende is! Bij een ventilatievoud van 6 wordt een infectie pas waarschijnlijk na meer dan 3 uur (grafiek linksonder), wat het belang van goede ventilatie nog meer onderstreept. De luchtkwaliteit op basis van CO2 concentratie is in dat geval nog uitstekend.

Discussie
Onze berekeningen gaan ervan uit dat aerogene verspreiding een reëel risico is voor SARS-CoV-2, iets wat na voldoende onderzoek mogelijk het geval blijkt te zijn. Er bestaan (helaas) nog veel belangrijke, onbeantwoorde vragen over het SARS-CoV-2 virus. De gebruikte parameters en aannames in ons model zijn daarom onderhevig aan voortschrijdend inzicht. De resultaten moeten worden gezien in die context. Ze geven inzicht in mogelijke risico’s, maar vormen onvoldoende basis voor definitieve ontwerpbeslissingen en zeker niet voor medische aanbevelingen. Niettemin suggereren de resultaten de mogelijkheid van een hoog risico op secundaire infectie bij een laag en goed CO2-niveau van de ruimtelucht. De CO2 concentratie in een ruimte is dus geen goede indicator voor het risico op een secundaire infectie. Dit kan als een ”verrassing” overkomen, een laag CO2-niveau is toch gezond? Dat klopt als we kijken naar discomfort, risico op hoofdpijn en vermoeidheid, maar het klopt dus niet bij beschouwing van het risico op een secundaire infectie. De resultaten laten wel zien dat meer ventileren (mechanisch of door het openen van ramen) een effectieve maatregel is tegen eventuele secundaire infecties. Ook de volgende operationele maatregelen verminderen het eventuele risico:
1. de duur van onze vergaderingen beperken;
2. het beperken van het aantal mensen binnen de vergaderruimtes;
3. regelmatig pauzeren en de ruimte verlaten, zodat de concentratie zwevende druppeltjes kan afnemen.
Vervolg
We passen het model aan en verfijnen het naarmate meer informatie over het SARS-CoV-2 virus beschikbaar komt. Daarnaast gaan we het model combineren met gemeten data. Met CO2-sensoren bepalen we dan nauwkeurig de toename van uitgeademde lucht in een specifieke ruimte, wat een belangrijke factor is in de berekening van het infectierisico omdat het meer inzicht geeft in het aantal aanwezigen in de ruimte en de tijdsduur dat zij aanwezig zijn. In ruimtes zonder CO2-sensoren, kunnen we tijdelijk gebruik maken van mobiele CO2-sensoren. Nog meer inzicht krijgen we door de luchtstromen in een ruimte te simuleren van met behulp van Computational Fluid Dynamics (CFD). We zien dan bij welke stoelen veel zwevende druppeltjes aanwezig zijn en welke stoelen (kunnen) worden afgeschermd. Zo bepalen we de ideale zitopstelling in relatie tot de ventilatie en beschermen we personen tegen ongunstige luchtstromen.
Teruggaan naar het werk in de 1,5 m samenleving is een bijzondere ervaring. Er is nog veel onbekend over het virus en het is daarom onmogelijk om het risico van secundaire infectie nauwkeurig te bepalen. Hiervoor is meer wetenschappelijk onderzoek nodig. Maar door de op dit moment de beste, beschikbare informatie te combineren met onze kennis van ventilatie, kunnen we nu al veiligheidsrichtlijnen definiëren en de eventuele risico’s verminderen.
Bent u geïnteresseerd in een analyse van uw situatie en wilt uw weten hoe u eventuele risico’s kunt verminderen, dan adviseren wij u graag. In bovenstaande analyse is een vergaderruimte als voorbeeld genomen, maar dezelfde soort analyses kunnen worden gedaan voor bijvoorbeeld een theaterzaal of polikliniek. Neem voor meer informatie contact op met Yasin Toparlar (yasin.toparlar@deerns.com) of Paul van Gent (paul.van.gent@deerns.com).